Nhiệt độ cấp đông và tốc độ đóng băng là hai yếu tố quyết định chỉ số sai lệch màu sắc ΔE – thước đo sống còn cho nhà cung cấp trái cây sấy thăng hoa xuất khẩu sang EU và Nhật Bản. Tại sao cấp đông chậm gây nâu hóa và làm thế nào công nghệ IQF -40°C giúp bảo diện mạo tươi mới cho xoài, dâu tây, thanh long?.
Bài viết cung cấp công thức đo lường CIELAB, dữ liệu thực nghiệm Lab* năm 2026 và giải pháp kiểm soát màu sắc tối ưu cho nông sản Việt Nam.
1. Nhiệt độ cấp đông đến màu sắc
Trong ngành xuất khẩu nông sản, màu sắc là chỉ số cảm quan đầu tiên quyết định giá trị thương mại. Thực tế cho thấy, trái cây đông lạnh bị xỉn màu 30% có thể dẫn đến sụt giảm 50% giá trị xuất khẩu. Màu sắc trái cây được quy định bởi các sắc tố chính: Chlorophyll (xanh), Carotenoid (vàng/cam) và Anthocyanin (đỏ/tím).
Việc kiểm soát nhiệt độ cấp đông không chỉ là làm lạnh, mà là cuộc đua về tốc độ đóng băng để bảo vệ cấu trúc tế bào và bất hoạt enzyme.
- Sắc tố chủ đạo: Chlorophyll, Carotenoids, Anthocyanins.
- Thống kê: Cấp đông chậm ở -18C khiến chỉ số mất màu Delta E tăng gấp 4 lần so với công nghệ IQF.
- Tiêu chuẩn: Thị trường EU/Nhật Bản yêu cầu Delta E < 3.0 cho nông sản Premium.
1.1. Định nghĩa thay đổi màu sắc trong đông lạnh
Sự biến đổi màu sắc bao gồm:
- Biến đổi enzyme: Phản ứng nâu hóa do Polyphenol Oxidase (PPO).
- Biến đổi phi enzyme: Sự oxy hóa sắc tố và phân hủy protein liên kết sắc tố.
1.2. Tầm quan trọng thương mại
| Thị trường | Tiêu chuẩn ΔE | Yêu cầu cảm quan |
| Nhật Bản | < 2.5 | Màu tươi như vừa hái |
| EU | < 3.0 | Không có đốm nâu/xỉn |
| Nội địa | < 5.0 | Chấp nhận biến màu nhẹ |
1.3. Cơ chế tinh thể băng phá hủy tế bào
Khi nhiệt độ giảm chậm, tinh thể băng lớn hình thành ngoài tế bào, gây áp suất thẩm thấu kéo nước ra ngoài, làm rách màng tế bào. Điều này giải phóng các enzyme gây nâu hóa tiếp xúc trực tiếp với sắc tố.
2. Cơ chế vật lý hóa học mất màu
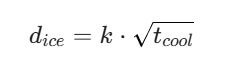
2.1. Tinh thể băng và tốc độ đóng băng
Kích thước tinh thể băng (d_ice) tỷ lệ thuận với căn bậc hai của thời gian đóng băng:

Tốc độ đóng băng càng nhanh, tinh thể băng càng nhỏ và mịn, giúp bảo vệ cấu trúc túi chứa sắc tố.
2.2. Enzyme Polyphenol Oxidase (PPO) gây nâu hóa
Khi tế bào bị tổn thương vật lý do băng, phản ứng sau diễn ra:

2.3. Biến tính Protein và giải phóng sắc tố
Nhiệt độ cực thấp làm biến tính các phức hợp Protein-Chlorophyll, khiến màu xanh của rau quả chuyển sang màu vàng xám hoặc nâu xỉn.
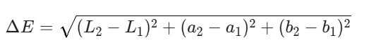
3. Công thức đo lường thay đổi màu sắc (CIELAB)
Để đánh giá chính xác, các Lab thực phẩm sử dụng hệ màu L* a* b*. Tổng sai lệch màu sắc Delta E được tính theo công thức:

- L*: Độ sáng (0 = đen, 100 = trắng).
- a*: Trục xanh lá (-) đến đỏ (+).
- b*: Trục xanh dương (-) đến vàng (+).
Thiết bị tiêu chuẩn được sử dụng rộng rãi tại Việt Nam là Colorimeter Minolta CR-400.
4. Tốc độ cấp đông tối ưu theo loại quả
Dữ liệu thực nghiệm cho thấy sự khác biệt rõ rệt giữa các phương pháp:
| Phương pháp | Nhiệt độ | Tốc độ ΔE (Trung bình) | Loại quả phù hợp |
| IQF Tunnel | -40C | 1.2 – 1.8 | Dâu tây, xoài miếng, việt quất |
| Air Blast | -30C | 2.5 – 3.5 | Chuối, bơ, mít |
| Tủ đông chậm | -18C | 6.0 – 8.5 | Không đạt chuẩn xuất khẩu |

6. Dữ liệu Delta E các loại trái cây Việt Nam
Dưới đây là bảng dữ liệu thực tế từ các lô hàng xuất khẩu:
| Loại trái cây | Nhiệt độ cấp đông | Chỉ số ΔE | Trạng thái màu sắc |
| Xoài cát Hòa Lộc | -35C (IQF) | 1.8 | Vàng tươi, bóng |
| Thanh long | -30C (IQF) | 2.2 | Trắng/Đỏ tươi |
| Dâu tây Đà Lạt | -40C (IQF) | 3.1 | Đỏ thẫm nhẹ |
7. Tiền xử lý bảo vệ màu sắc
Trước khi cấp đông, 3 phương pháp sau được ưu tiên:
- Chần (Blanching): 85C trong 30 giây để bất hoạt enzyme PPO. Giảm Delta E khoảng 40.
- Ngâm Sodium Metabisulfite (0.1%): Ngăn chặn phản ứng oxy hóa sắc tố.
- Siêu âm (35 kHz): Tạo vi cấu trúc giúp dịch bào ổn định, giảm sự hình thành băng lớn.
Quy trình IQF (Individual Quick Freezing) chuẩn công nghiệp:
- Làm lạnh sơ bộ: Đưa quả về 4C.
- Băng chuyền IQF: Nhiệt độ -40C, tốc độ gió 5m/s.
- Mạ băng (Glazing): Tạo lớp màng nước mỏng bảo vệ bề mặt chống oxy hóa.
10. Tối ưu hóa bằng công nghệ 4.0
Xu hướng năm 2026 tập trung vào mô hình dự đoán:

Sử dụng Hyperspectral Imaging (Ảnh phổ siêu đa) để phát hiện sự biến đổi màu sắc ở cấp độ phân tử ngay trên băng chuyền thời gian thực, cho phép AI điều chỉnh tốc độ cấp đông tự động.
11. Rủi ro mất màu nghiêm trọng
- Tái kết tinh (Recrystallization): Do biến động nhiệt độ trong kho bảo quản khiến
- Delta E > 8.0
- Rã đông sai cách: Kích hoạt lại enzyme khiến trái cây thâm đen nhanh chóng.
- Kiểm soát: Tuân thủ nghiêm ngặt chuẩn FSSC 22000.
12. Kết luận
Nhiệt độ cấp đông không chỉ quyết định cấu trúc mà là “hàng rào” bảo vệ màu sắc. Để đạt tiêu chuẩn Premium, doanh nghiệp cần:
- Ưu tiên công nghệ IQF -40C.
- Kiểm soát chỉ số Delta E < 3.0.
- Ứng dụng tiền xử lý chần nhiệt hoặc siêu âm.
Kiến thức liên quan: Quy Trình Farm-To-Dryer: Bí Quyết Nâng 25% Giá Trị Trái Cây Sấy

